
腾讯视频软件特色
1080P免费
非会员畅享蓝光画质
下载、离线观看
软件支持多任务下载,看片告别卡顿
V币加倍奖励
赚更多V币,抽VIP特权
流畅观影体验
体验在线3倍加速的快感

安装腾讯视频教程
1.首先请在该页找到 “下载地址” 将腾讯视频播放器软件包下载至本地。下载后找到请先找到.exe格式文件双击并运行,运行后将出现以下截图界面:
两种安装方式请选择:
①在腾讯视频播放器安装界面小伙伴们可直接选择【立即安装】进行快速安装,无需继续观看接下来步骤;
②可单击图中红框框选处,进行自定义安装。注意,左下角处有腾讯视频软件的安装协议,需要小伙伴们大致阅读了解。请勿直接跳过;
提示:如想要继续安装腾讯视频软件,必须勾选同意该协议。

2.选择自定义安装后将跳转至以下界面:在该界面处我们可以设置腾讯视频播放器软件的安装目录,单击【浏览】按钮即可设置。设置完毕后我们就可以单击【立即安装】按钮继续安装教程了。
提示:在该界面最下方有几项功能需要你选择设置:是否创建桌面图标、是否添加到快速启动栏、是否设置开机自动启动三项功能,如有需要可直接选中即可设置成功。

3.以上信息都设置完毕,我们将进入腾讯视频信息安装界面,在该界面我需要的是等待其自行设置安装信息即可。请耐心等待~
4.信息配置成功后将跳转“安装完成”界面,表示我们已经安装成功。另外该界面也有一些推荐软件需要你选择,有需要的小伙伴们可自行勾选(如无需求可不勾选)并单击【立即体验】结束安装教程。
腾讯视频(QQLive)使用教程
1、腾讯视频如何下载?
1.请先双击运行你桌面上的腾讯快捷方式,然后在如下图中找到【登陆】入口并点击进去。

2.接下来将弹出腾讯视频的登录界面,我们只需要根据图中提示选择“QQ账号登陆”或是“微信账号登陆”。最左下方处有个自动登录勾选提示,勾选即表示下次打开该软件时无需自己输入账号密码即可自动登录。
提示:QQ或微信的账号密码如你已有,只需要输入即可,无需重新注册。
3.登陆完成后,就可以进行视频下载教程了。 请先在腾讯视频搜寻你想要下载的视频资源,并将鼠标移至资源处会有图中提示的按钮出现:【下载】按钮。我们只需要单击这个按钮即可开始选择下载。
4.选择下载按钮后,将出现如下截图:我们可以在腾讯视频软件下载界面处选择视频下载的清晰度(标清或高清,任选一种),然后勾选你需要下载的视频并单击【确定】开始下载。
2、腾讯视频弹幕怎么打开?
1.首先需要你打开腾讯视频播放软件,该软件的弹幕功能默认是关闭状态。如下:
2.然后我们在图中圈出的位置单击即可打开腾讯视频弹幕,如下:
3、腾讯视频弹幕如何发送?
1.如果你想吐槽或是表达想法可以在打开弹幕后在输入框中输入需要的文字,或是添加你想要的表情符号等。
2.在腾讯视频弹幕框中文字编辑完后,选择【发送】按钮,即可发送成功。
4、开通腾讯视频会员预付费教程
1、首先请在腾讯视频官网找到充值会员中心,然后根据提示开通腾讯视频会员。(提示:腾讯视频登陆账号可使用腾讯QQ或微信账号登陆)
2、如您选择的是腾讯的QQ号码或是微信帐号登录,请先在页面上方找到“腾讯视频VIP影院”然后在根据具体的页面提示进行操作即可。
3、或是您可选择在腾讯视频会员影院处单击选择开通腾讯视频会员。以上所有开通方式都可支持:银行卡、微信支付、手机充值卡、QQ支付、Q币Q点、财付通、财付通快捷支付等多种方式。
腾讯视频(QQLive)常见问题
1.腾讯视频播放器无法正常观看视频怎么办?
腾讯视频无法正常播放可能是因为你的浏览器或是flash播放器的版本太旧。你可选择更新IE浏览器版本至5.0以上,FLASH播放器版本需要8.0以上。(提示:跟操作系统配置无关)
2.腾讯视频看不到播放器、也无法进行打分、评论、收藏、分享等;很多链接无法点击?
需要您根据提示开启浏览器Java功能,步骤如下:
①、首先请打开你的IE浏览器找到【工具】 →【Internet选项】,然后选择切换到【安全】选项,再单击【默认级别】按钮即可自动开启JAVA脚本。
②、或是你可选择手动去设置安全级别。此方法需要在①的基础上设置,请根据图中提示先选择单击左边【自定义级别】按钮,然后弹出 “安全设置” 界面后找到【java小程序脚本】并根据图中提示启用需要的功能。
如果你在单击【确定】按钮后弹出以下界面截图:直接选择【是】按钮即可。
3.腾讯视频看不到播放器;看不到视频评论,但可以进行打分、收藏、分享等操作?
如果出现以上问题请根据以下步骤开启IE的Active功能: ①、与“开启JAVA”步骤一样。即使你选择的是“默认级别”,系统也会帮你把ActiveX功能默认开启。 ②、与手动开启JAVA功能的步骤一样,在“安全设置”界面找到【java小程序脚本】设置需要开启的功能。
4.腾讯视频播放器播放视频时很卡;播放器黑屏;不能完整播放视频,放到一半就停了怎么办?
①、腾讯视频播放卡:请停止你电脑上一切下载活动(关闭或暂停)。尤其是p2p软件的数据交流或是bt下载。
②、腾讯视频播放到一半就卡住:可能是你的网速不太稳定,小编建议你可以先清空缓存再刷新页面后试试。ie浏览器设置步骤:找到IE浏览器菜单:【工具】→【internet选项】→【删除文件】→【删除所有脱机内容】→【确定】
③、其他问题。你可以联系腾讯视频官方客服人员寻求解决。
5.腾讯视频只有图像没声音怎么办?(仅限TT浏览器)
请找到【工具】→【TT 选项】→【智能屏蔽设置】,然后关闭“禁止下载及播放声音”选项。或是检查是否设置网页声音:【internet选项】→【高级】→【多媒体】→【播放网页中的“声音”】请勾选。
6.如果是只有声音没图像又怎么办?(仅限TT浏览器)
请找到【工具】→【TT 选项】→【智能屏蔽设置】,并关闭“隐藏浮动网页元素”,“禁止下载和播放flash”,“禁止下载和播放视频”等此类屏蔽选项。
7.腾讯视频无法全屏观看怎么办?
小编建议你可以选择升级浏览器的插件版本。
8.腾讯视频怎么转换成mp4?
首先说明下,腾讯视频特有的QLV格式并不是市面上常见的视频转换软件就可以转换掉,而是需要特殊操作转换改格式。接下来将分享腾讯视频qlv格式转mp4技巧
1.如果你要转换腾讯视频的qlv格式文件就需要一份已经下载好的本地视频,你可以在腾讯视频软件的【设置】→【下载设置】寻找你已经下载好的视频文件存储位置。
2.在具体操作转换qlv格式之前,我们需要先找到【计算机】→【查看】→【隐藏文件夹】,选择显示隐藏的文件夹。有两种设置显示隐藏文件夹方法适合不同系统的电脑,请选择适合自己的方法。
win10设置方法一:
win7设置方法二:
3.然后我们需要参考步骤一中找到的缓存目录位置,找到自己自己需要转换的视频文件,然后就可以看到很多的.tal文件(该文件一般是隐藏模式,但我们在步骤二处已经设置所以可以看见),这些文件都是视频的分段文件。我们需要将这些分段文件全部粘贴(请先复制哦)到E盘根目录下。
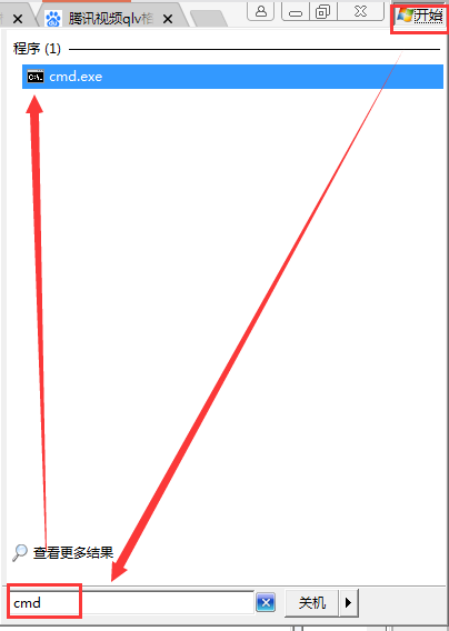
4.最后我们选择【开始】菜单栏,在搜索框中输入“cmd”并回车进入(或使用快捷键电脑上的windows图标键 + R,快速进入),输入 e: 按下回车进入e盘 ,然后输入:copy/b *.tdl 1.mp4 对E盘下所有tdl格式的文件进行合并。
进入CMD方法一:鼠标操作
进入CMD方法二:快捷键操作

cmd进入成功截图:
腾讯视频对比爱奇艺视频
腾讯视频:腾讯视频播放器是一款在线视频媒体平台及视频播放器。腾讯可24小时多平台无缝应用体验以及快捷分享,快速登陆等满足用户在线观影需求。(毕竟QQ跟微信都是腾讯的,那用于登陆腾讯的视频播放软件也是可以的)
爱奇艺:爱奇艺坚持为用户提供清晰、流畅、界面友好的观映体验。相比腾讯视频播放器爱奇艺界面更简洁清晰全面一些。界面也更加简洁清晰。值得一提的是腾讯有部分电影标注着“自拍”,该功能是可以解决用户不想上电影院但又想看影院的影片而产生的。
如果小伙伴同样喜欢爱奇艺,单击此处直接下载:爱奇艺视频下载地址:http://www.onlinedown.net/soft/115744.htm
腾讯视频(QQLive)更新日志
新版导航样式,频道切换更方便;
频道页面全新改版,沉浸式找片更高效;
首页增加我的在追,常看影片续看更方便;
视频内容在线讨论,紧扣剧情边看边聊;
近期热播好剧,升级观看体验更佳;


















